Официальное опубликование правовых актов
ОФИЦИАЛЬНОЕ ОПУБЛИКОВАНИЕ
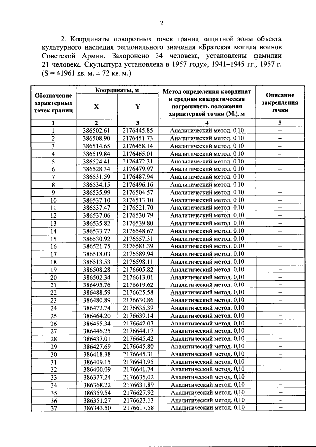
Приказ Комитета по охране объектов культурного наследия Курской области от 16.02.2022 № 05.4-08/96
"Об утверждении графического описания местоположения границ защитной зоны объекта культурного наследия регионального значения "Братская могила воинов Советской Армии. Захоронено 34 человека, установлены фамилии 21 человека. Скульптура установлена в 1957 году", 1941–1945 гг., 1957 г. (Курская область, Мантуровский район, д. Бурцевка (в центре села, у школы)"
Номер опубликования: 4601202202220008
Дата опубликования: 22.02.2022
Страница №4 из 6:
Увеличить