Официальное опубликование правовых актов
ОФИЦИАЛЬНОЕ ОПУБЛИКОВАНИЕ
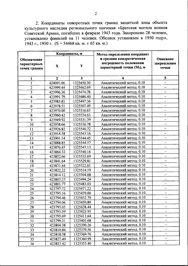
Приказ Комитета по охране объектов культурного наследия Курской области от 16.02.2022 № 05.4-08/87
"Об утверждении графического описания местоположения границ защитной зоны объекта культурного наследия регионального значения "Братская могила воинов Советской Армии, погибших в феврале 1943 года. Захоронено 28 человек, установлено фамилий на 11 человек. Обелиск установлен в 1950 году", 1943 г., 1950 г. (Курская область, Курский район, Бесединский сельсовет, с. Троица, д. 44 "а")"
Номер опубликования: 4601202202220006
Дата опубликования: 22.02.2022
Страница №4 из 6:
Увеличить