Официальное опубликование правовых актов
ОФИЦИАЛЬНОЕ ОПУБЛИКОВАНИЕ
Приказ Комитета по охране объектов культурного наследия Курской области от 02.02.2022 № 05.4-08/44
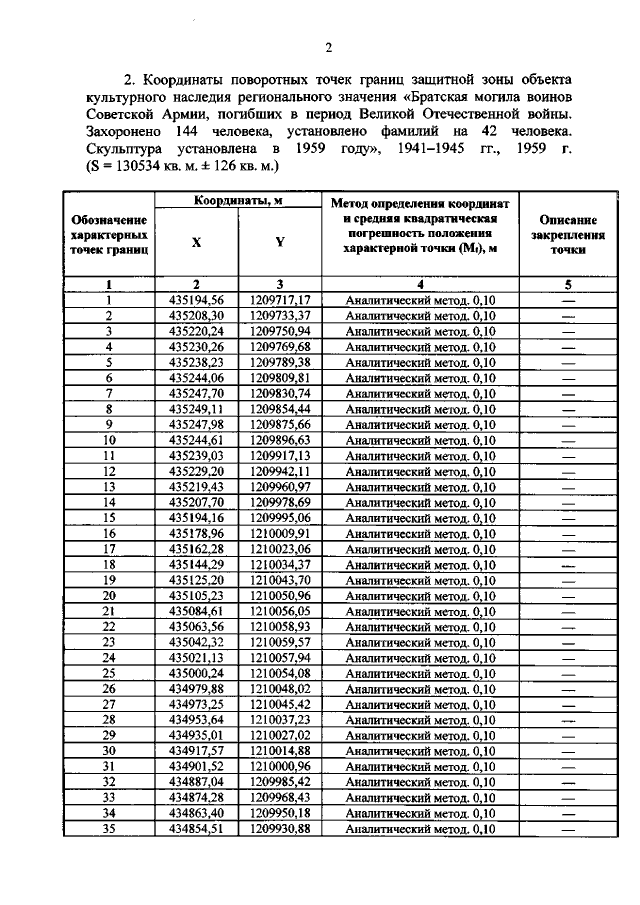
"Об утверждении графического описания местоположения границ защитной зоны объекта культурного наследия регионального значения "Братская могила воинов Советской Армии, погибших в период Великой Отечественной войны. Захоронено 144 человека, установлено фамилий на 42 человека. Скульптура установлена в 1959 году", 1941–1945 гг., 1959 г. (Курская область, Хомутовский район, село Сковороднево (у здания сельсовета)"
Номер опубликования: 4601202202110023
Дата опубликования: 11.02.2022
Страница №4 из 6:
Увеличить