Официальное опубликование правовых актов
ОФИЦИАЛЬНОЕ ОПУБЛИКОВАНИЕ
Приказ Комитета по охране объектов культурного наследия Курской области от 02.02.2022 № 05.4-08/42
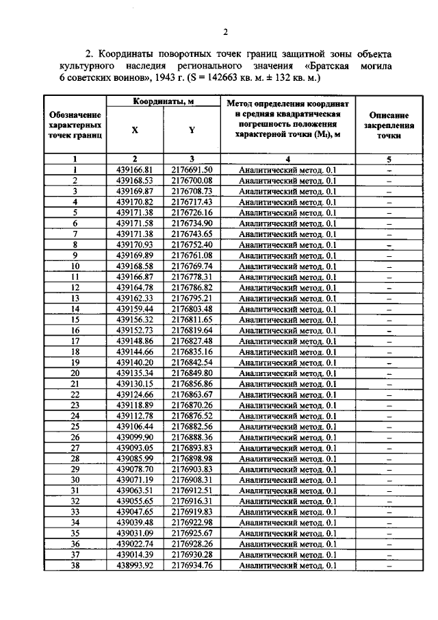
"Об утверждении графического описания местоположения границ защитной зоны объекта культурного наследия регионального значения "Братская могила 6 советских воинов", 1943 г. (Курская область, Советский район, с. Расховец)"
Номер опубликования: 4601202202110022
Дата опубликования: 11.02.2022
Страница №3 из 7:
Увеличить