Официальное опубликование правовых актов
ОФИЦИАЛЬНОЕ ОПУБЛИКОВАНИЕ
Приказ Комитета по охране объектов культурного наследия Курской области от 02.02.2022 № 05.4-08/53
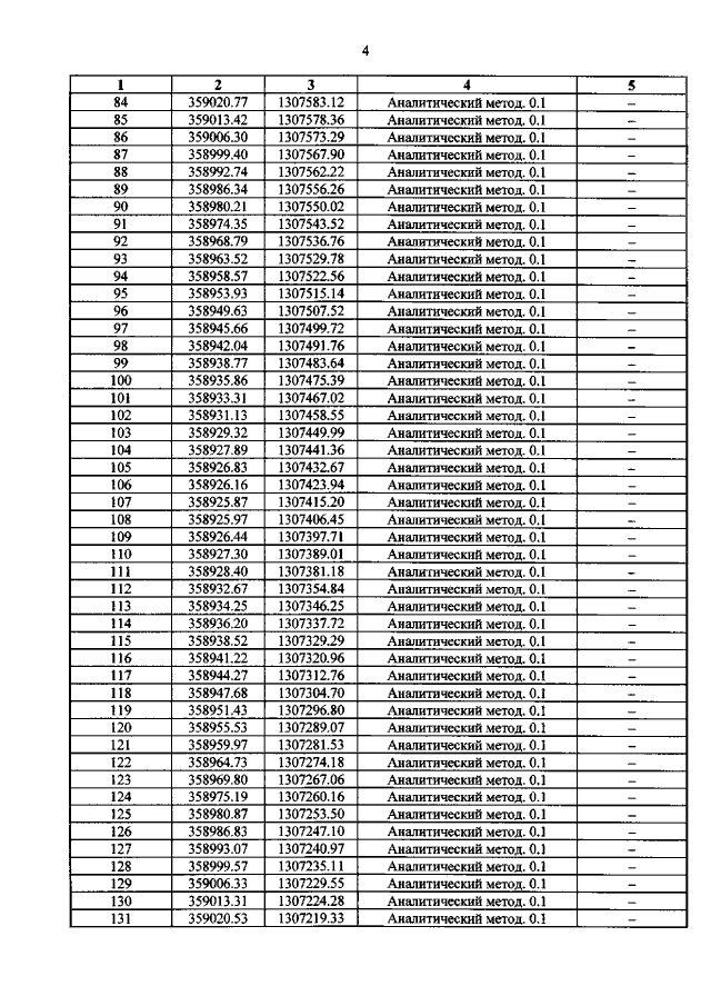
"Об утверждении графического описания местоположения границ защитной зоны объекта культурного наследия регионального значения "Братская могила воинов Советской Армии, погибших в феврале 1943 года. Захоронено 167 человек, установлено фамилий на 30 человек. Скульптура установлена в 1948 году", 1943 г., 1948 г.(Курская область, Обоянский район, село Афанасьево (в 30 метрах юго–западнее сельского клуба)"
Номер опубликования: 4601202202110017
Дата опубликования: 11.02.2022
Страница №5 из 7:
Увеличить