Официальное опубликование правовых актов
ОФИЦИАЛЬНОЕ ОПУБЛИКОВАНИЕ
Приказ Комитета по охране объектов культурного наследия Курской области от 02.02.2022 № 05.4-08/49
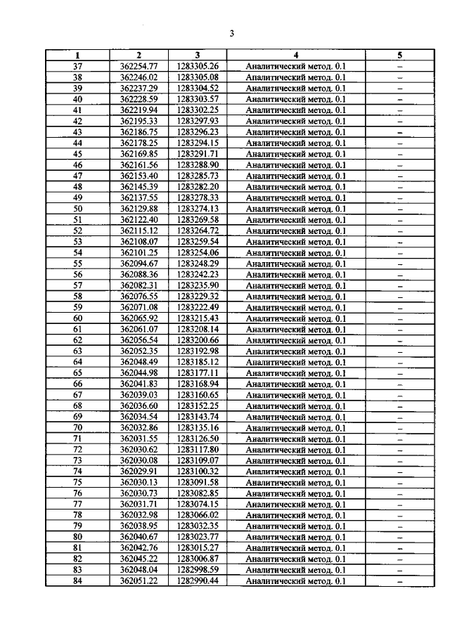
"Об утверждении графического описания местоположения границ защитной зоны объекта культурного наследия регионального значения "Братская могила воинов Советской Армии, погибших в период Великой Отечественной войны. Захоронено 168 человек, установлено фамилий на 54 человека. Скульптура установлена в 1961 году", 1961 г. (Курская область, Обоянский район, сл. Рыбинские Буды (в сквере, в 30 м от здания сельсовета)"
Номер опубликования: 4601202202110012
Дата опубликования: 11.02.2022
Страница №5 из 8:
Увеличить