Приказ Комитета по охране объектов культурного наследия Курской области от 02.02.2022 № 05.4-08/50
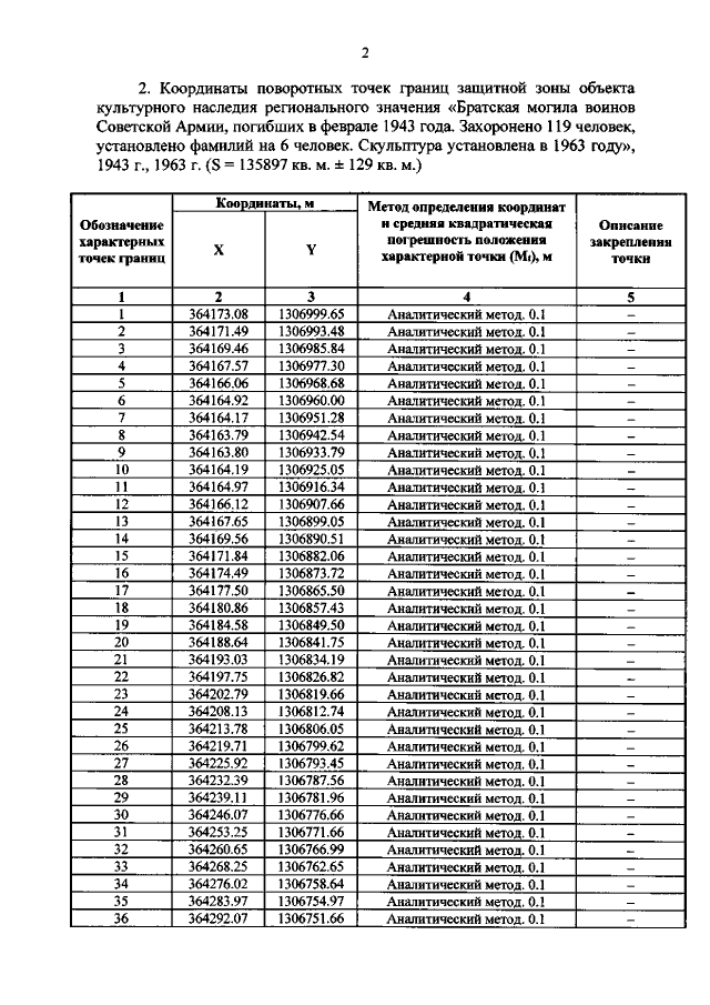
"Об утверждении графического описания местоположения границ защитной зоны объекта культурного наследия регионального значения "Братская могила воинов Советской Армии, погибших в феврале 1943 года. Захоронено 119 человек, установлено фамилий на 6 человек. Скульптура установлена в 1963 году", 1943 г., 1963 г. (Курская область, Обоянский район, село Стрелецкое (в 50 метрах южнее Дворца культуры)"
"Об утверждении графического описания местоположения границ защитной зоны объекта культурного наследия регионального значения "Братская могила воинов Советской Армии, погибших в феврале 1943 года. Захоронено 119 человек, установлено фамилий на 6 человек. Скульптура установлена в 1963 году", 1943 г., 1963 г. (Курская область, Обоянский район, село Стрелецкое (в 50 метрах южнее Дворца культуры)"
Номер опубликования: 4601202202110011
Дата опубликования:
11.02.2022
