Официальное опубликование правовых актов
ОФИЦИАЛЬНОЕ ОПУБЛИКОВАНИЕ
Приказ Комитета по охране объектов культурного наследия Курской области от 02.02.2022 № 05.4-08/41
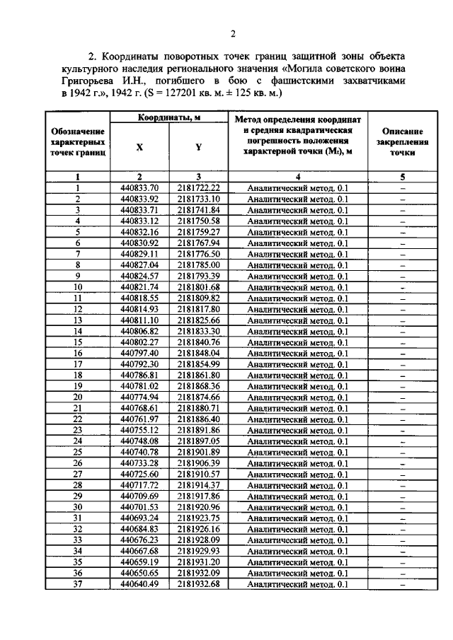
"Об утверждении графического описания местоположения границ защитной зоны объекта культурного наследия регионального значения "Могила советского воина Григорьева И.Н., погибшего в бою с фашистскими захватчиками в 1942 г.", 1942 г. (Курская область, Советский район, с. Расховец)"
Номер опубликования: 4601202202110007
Дата опубликования: 11.02.2022
Страница №3 из 7:
Увеличить