Официальное опубликование правовых актов
ОФИЦИАЛЬНОЕ ОПУБЛИКОВАНИЕ
Приказ Комитета по охране объектов культурного наследия Курской области от 02.02.2022 № 05.4-08/40
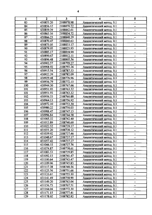
"Об утверждении графического описания местоположения границ защитной зоны объекта культурного наследия регионального значения "Братская могила воинов Советской Армии, погибших в период Великой Отечественной войны. У могилы в 1975 году установлен обелиск", 1941-1945 гг. (Курская область, Советский район, село Мармыжи (в центре села)"
Номер опубликования: 4601202202110005
Дата опубликования: 11.02.2022
Страница №5 из 7:
Увеличить