Официальное опубликование правовых актов
ОФИЦИАЛЬНОЕ ОПУБЛИКОВАНИЕ
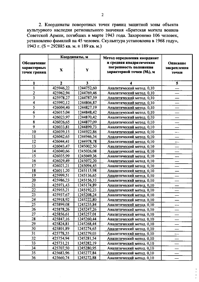
Приказ Комитета по охране объектов культурного наследия Курской области от 01.02.2022 № 05.4-08/32
"Об утверждении графического описания местоположения границ защитной зоны объекта культурного наследия регионального значения "Братская могила воинов Советской Армии, погибших в марте 1943 года. Захоронено 106 человек, установлено фамилий на 45 человек. Скульптура установлена в 1968 году", 1943 г. (Курская область, Льговский район, село Ольшанка)"
Номер опубликования: 4601202202080020
Дата опубликования: 08.02.2022
Страница №3 из 5:
Увеличить