Приказ Комитета по охране объектов культурного наследия Курской области от 01.02.2022 № 05.4-08/20
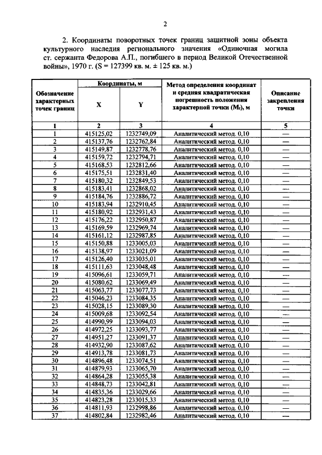
"Об утверждении графического описания местоположения границ защитной зоны объекта культурного наследия регионального значения "Одиночная могила ст. сержанта Федорова А.П., погибшего в период Великой Отечественной войны", 1970 г. (Курская область, Льговский район, ст. Шерекино)"
"Об утверждении графического описания местоположения границ защитной зоны объекта культурного наследия регионального значения "Одиночная могила ст. сержанта Федорова А.П., погибшего в период Великой Отечественной войны", 1970 г. (Курская область, Льговский район, ст. Шерекино)"
Номер опубликования: 4601202202080018
Дата опубликования:
08.02.2022
