Официальное опубликование правовых актов
ОФИЦИАЛЬНОЕ ОПУБЛИКОВАНИЕ
Приказ Комитета по охране объектов культурного наследия Курской области от 01.02.2022 № 05.4-08/22
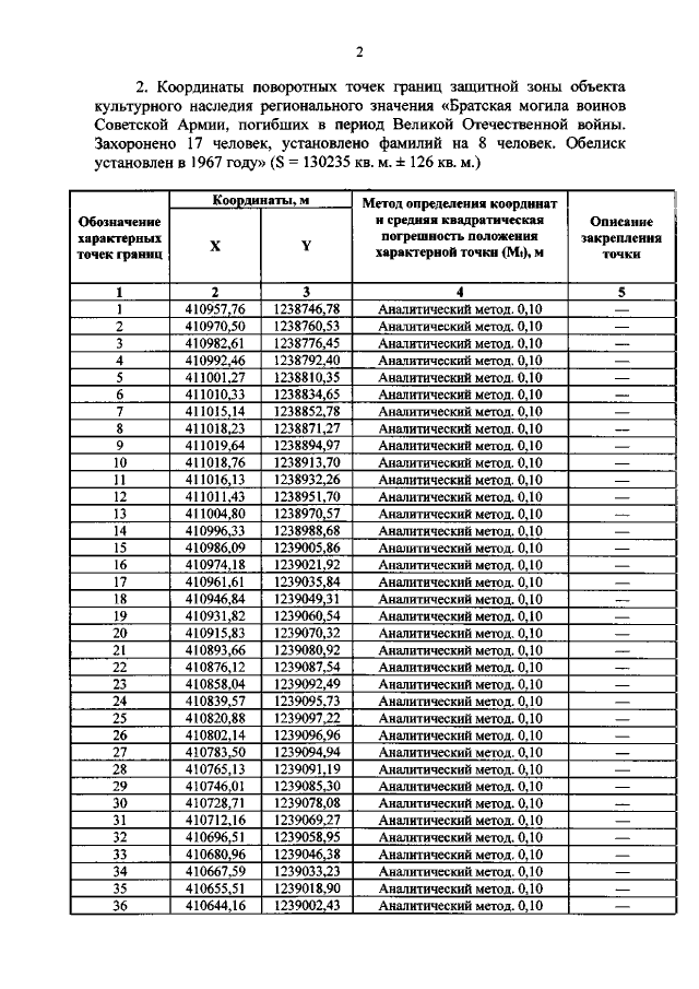
"Об утверждении графического описания местоположения границ защитной зоны объекта культурного наследия регионального значения "Братская могила воинов Советской Армии, погибших в период Великой Отечественной войны. Захоронено 17 человек, установлено фамилий на 8 человек. Обелиск установлен в 1967 году" (Курская область, Льговский район, село Сугрово)"
Номер опубликования: 4601202202080015
Дата опубликования: 08.02.2022
Страница №3 из 5:
Увеличить