Приказ Комитета по охране объектов культурного наследия Курской области от 01.02.2022 № 05.4-08/24
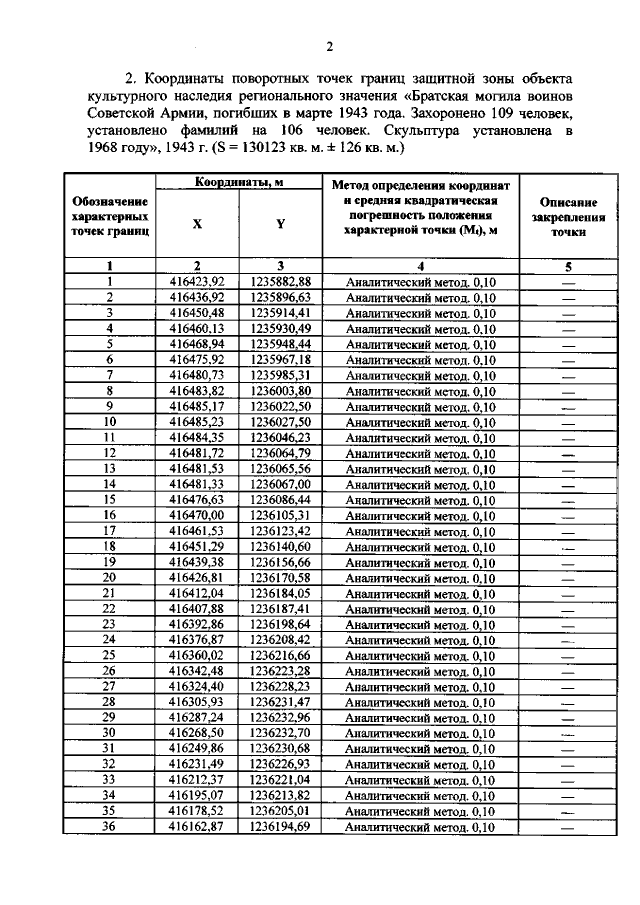
"Об утверждении графического описания местоположения границ защитной зоны объекта культурного наследия регионального значения "Братская могила воинов Советской Армии, погибших в марте 1943 года. Захоронено 109 человек, установлено фамилий на 106 человек. Скульптура установлена в 1968 году", 1943 г. (Курская область, гор. Льгов (у средней школы № 1)"
"Об утверждении графического описания местоположения границ защитной зоны объекта культурного наследия регионального значения "Братская могила воинов Советской Армии, погибших в марте 1943 года. Захоронено 109 человек, установлено фамилий на 106 человек. Скульптура установлена в 1968 году", 1943 г. (Курская область, гор. Льгов (у средней школы № 1)"
Номер опубликования: 4601202202080013
Дата опубликования:
08.02.2022
