Официальное опубликование правовых актов
ОФИЦИАЛЬНОЕ ОПУБЛИКОВАНИЕ
Приказ Комитета по охране объектов культурного наследия Курской области от 01.02.2022 № 05.4-08/26
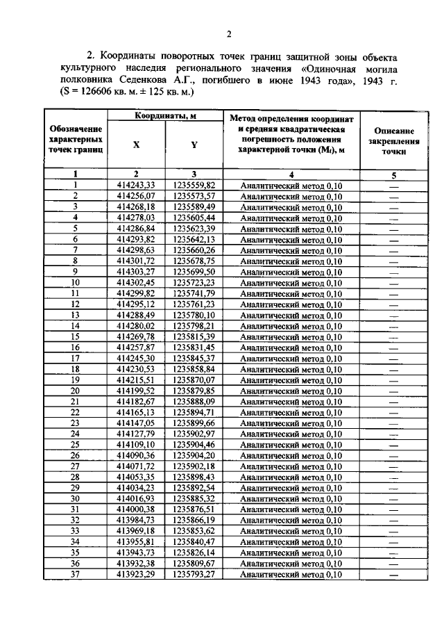
"Об утверждении графического описания местоположения границ защитной зоны объекта культурного наследия регионального значения "Одиночная могила полковника Седенкова А.Г., погибшего в июне 1943 года", 1943 г. (Курская область, гор. Льгов, ул. Красная, на территории сада противотуберкулезного санатория)"
Номер опубликования: 4601202202080010
Дата опубликования: 08.02.2022
Страница №3 из 5:
Увеличить