Официальное опубликование правовых актов
ОФИЦИАЛЬНОЕ ОПУБЛИКОВАНИЕ
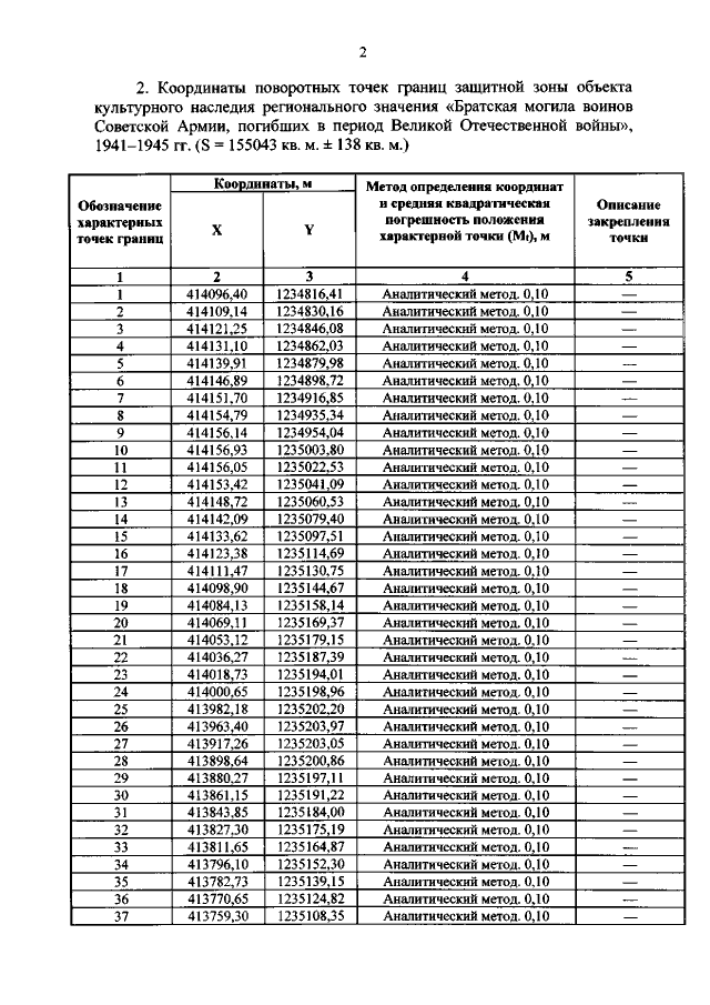
Приказ Комитета по охране объектов культурного наследия Курской области от 01.02.2022 № 05.4-08/27
"Об утверждении графического описания местоположения границ защитной зоны объекта культурного наследия регионального значения "Братская могила воинов Советской Армии, погибших в период Великой Отечественной войны", 1941–1945 гг. (Курская область, г. Льгов, ул. Зеленая, воинское кладбище на территории лесхоза)"
Номер опубликования: 4601202202080008
Дата опубликования: 08.02.2022
Страница №3 из 5:
Увеличить