Приказ Комитета по охране объектов культурного наследия Курской области от 01.02.2022 № 05.4-08/30
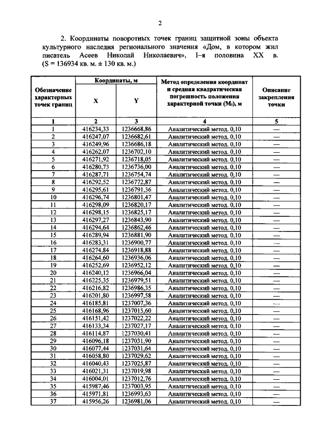
"Об утверждении графического описания местоположения границ защитной зоны объекта культурного наследия регионального значения "Дом, в котором жил писатель Асеев Николай Николаевич", I–я половина XX в. (Курская область, г. Льгов, ул. Асеева, 7)"
"Об утверждении графического описания местоположения границ защитной зоны объекта культурного наследия регионального значения "Дом, в котором жил писатель Асеев Николай Николаевич", I–я половина XX в. (Курская область, г. Льгов, ул. Асеева, 7)"
Номер опубликования: 4601202202080007
Дата опубликования:
08.02.2022
