Официальное опубликование правовых актов
ОФИЦИАЛЬНОЕ ОПУБЛИКОВАНИЕ
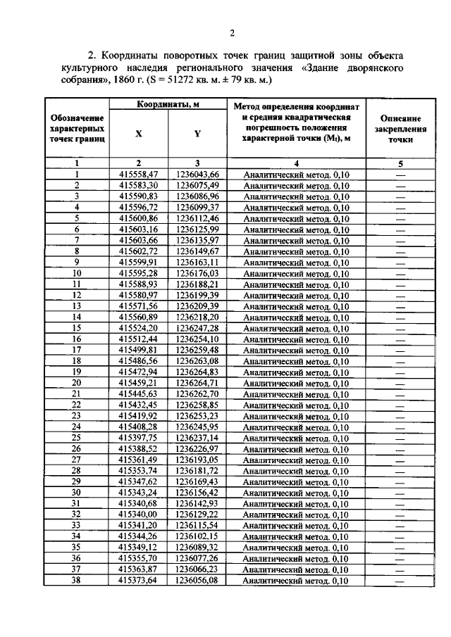
Приказ Комитета по охране объектов культурного наследия Курской области от 01.02.2022 № 05.4-08/29
"Об утверждении графического описания местоположения границ защитной зоны объекта культурного наследия регионального значения "Здание дворянского собрания", 1860 г. (Курская область, г. Льгов, ул. Советская, 2)"
Номер опубликования: 4601202202080005
Дата опубликования: 08.02.2022
Страница №3 из 5:
Увеличить