Официальное опубликование правовых актов
ОФИЦИАЛЬНОЕ ОПУБЛИКОВАНИЕ
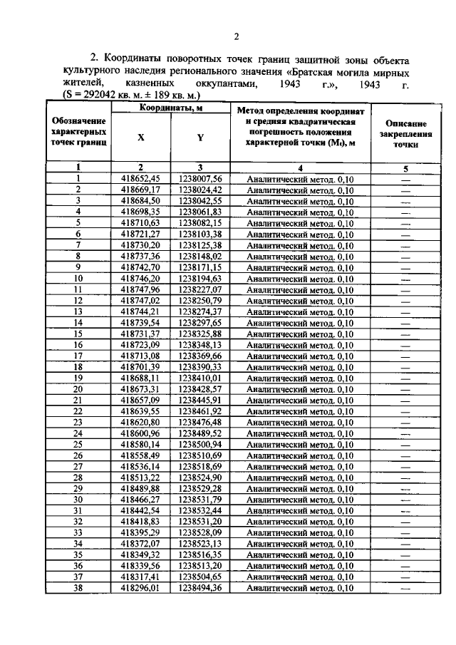
Приказ Комитета по охране объектов культурного наследия Курской области от 01.02.2022 № 05.4-08/31
"Об утверждении графического описания местоположения границ защитной зоны объекта культурного наследия регионального значения "Братская могила мирных жителей, казненных оккупантами, 1943 г.", 1943 г. (Курская область, Льговский район, Слободской лог, Городненский с/с)"
Номер опубликования: 4601202202080004
Дата опубликования: 08.02.2022
Страница №3 из 5:
Увеличить