Официальное опубликование правовых актов
ОФИЦИАЛЬНОЕ ОПУБЛИКОВАНИЕ
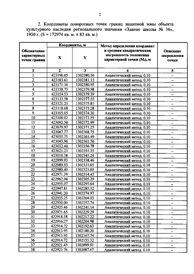
Приказ Комитета по охране объектов культурного наследия Курской области от 24.01.2022 № 05.4-08/8
"Об утверждении графического описания местоположения границ защитной зоны объекта культурного наследия регионального значения "Здание школы № 36", 1930 г. (Курская область, г. Курск, ул. Станционная, д.8)"
Номер опубликования: 4601202201280011
Дата опубликования: 28.01.2022
Страница №3 из 6:
Увеличить