Официальное опубликование правовых актов
ОФИЦИАЛЬНОЕ ОПУБЛИКОВАНИЕ
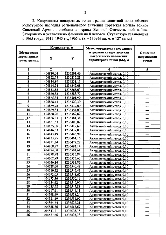
Приказ Комитета по охране объектов культурного наследия Курской области от 24.01.2022 № 05.4-08/5
"Об утверждении графического описания местоположения границ защитной зоны объекта культурного наследия регионального значения "Братская могила воинов Советской Армии, погибших в период Великой Отечественной войны. Захоронено и установлено фамилий на 8 человек. Скульптура установлена в 1965 году", 1941–1945 гг., 1965 г. (Курская область, Льговский район, д. Орловка)"
Номер опубликования: 4601202201280009
Дата опубликования: 28.01.2022
Страница №3 из 5:
Увеличить