Официальное опубликование правовых актов
ОФИЦИАЛЬНОЕ ОПУБЛИКОВАНИЕ
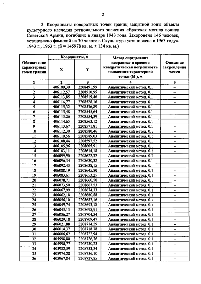
Приказ Комитета по охране объектов культурного наследия Курской области от 24.12.2021 № 01.1-08/659
"Об утверждении графического описания местоположения границ защитной зоны объекта культурного наследия регионального значения "Братская могила воинов Советской Армии, погибших в январе 1943 года. Захоронено 146 человек, установлено фамилий на 30 человек. Скульптура установлена в 1963 году", 1943 г., 1963 г. (Курская область, Горшеченский район, село Быково)"
Номер опубликования: 4601202201010015
Дата опубликования: 01.01.2022
Страница №3 из 7:
Увеличить