Официальное опубликование правовых актов
ОФИЦИАЛЬНОЕ ОПУБЛИКОВАНИЕ
Приказ Комитета по охране объектов культурного наследия Курской области от 24.12.2021 № 01.1-08/664
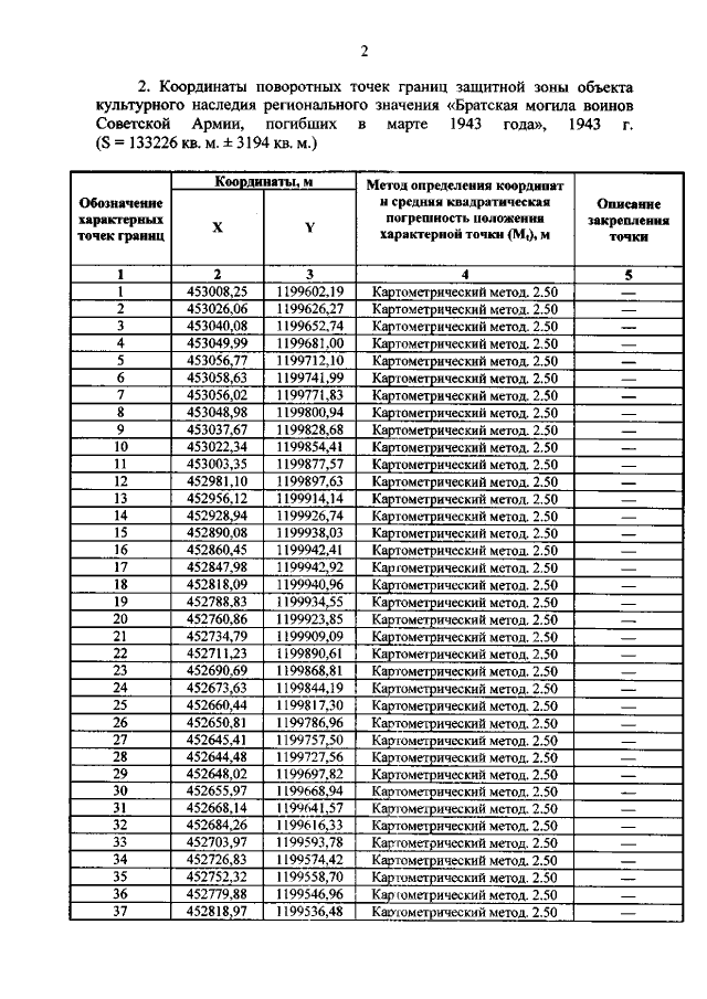
"Об утверждении графического описания местоположения границ защитной зоны объекта культурного наследия регионального значения "Братская могила воинов Советской Армии, погибших в марте 1943 года", 1943 г. (Курская область, Дмитриевский район, Почепский сельсовет, с. Селино, вблизи Селинского Дома культуры)"
Номер опубликования: 4601202201010011
Дата опубликования: 01.01.2022
Страница №3 из 5:
Увеличить