Приказ Комитета по охране объектов культурного наследия Курской области от 24.12.2021 № 01.1-08/674
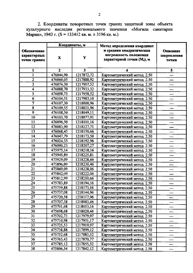
"Об утверждении графического описания местоположения границ защитной зоны объекта культурного наследия регионального значения "Могила санитарки Марии", 1943 г. (Курская область, Дмитриевский район, с. Бычки)"
"Об утверждении графического описания местоположения границ защитной зоны объекта культурного наследия регионального значения "Могила санитарки Марии", 1943 г. (Курская область, Дмитриевский район, с. Бычки)"
Номер опубликования: 4601202201010002
Дата опубликования:
01.01.2022
