Официальное опубликование правовых актов
ОФИЦИАЛЬНОЕ ОПУБЛИКОВАНИЕ
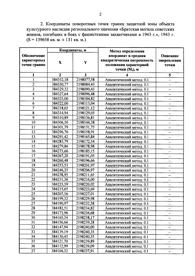
Приказ Комитета по охране объектов культурного наследия Курской области от 15.12.2021 № 01.1-08/646
"Об утверждении графического описания местоположения границ защитной зоны объекта культурного наследия регионального значения "Братская могила советских воинов, погибших в боях с фашистскими захватчиками в 1943 г.", 1943 г.(Курская область, Горшеченский район, с. Бараново)"
Номер опубликования: 4601202112240006
Дата опубликования: 24.12.2021
Страница №3 из 7:
Увеличить