Приказ Комитета по охране объектов культурного наследия Курской области от 15.12.2021 № 01.1-08/641
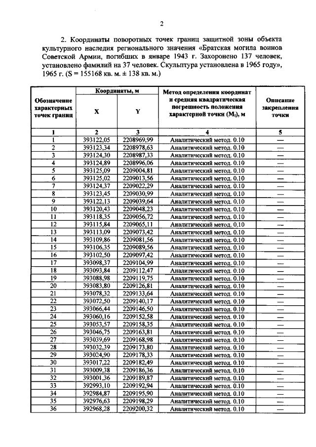
"Об утверждении графического описания местоположения границ защитной зоны объекта культурного наследия регионального значения "Братская могила воинов Советской Армии, погибших в январе 1943 г. Захоронено 137 человек, установлено фамилий на 37 человек. Скульптура установлена в 1965 году", 1965 г. (Курская область, Горшеченский район, с. Солдатское Солдатского сельсовета (в сквере участковой больницы)"
"Об утверждении графического описания местоположения границ защитной зоны объекта культурного наследия регионального значения "Братская могила воинов Советской Армии, погибших в январе 1943 г. Захоронено 137 человек, установлено фамилий на 37 человек. Скульптура установлена в 1965 году", 1965 г. (Курская область, Горшеченский район, с. Солдатское Солдатского сельсовета (в сквере участковой больницы)"
Номер опубликования: 4601202112230012
Дата опубликования:
23.12.2021
