Приказ Комитета по охране объектов культурного наследия Курской области от 15.12.2021 № 01.1-08/643
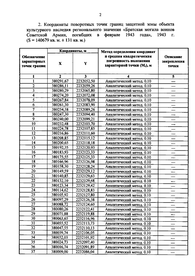
"Об утверждении графического описания местоположения границ защитной зоны объекта культурного наследия регионального значения "Братская могила воинов Советской Армии, погибших в феврале 1943 года", 1943 г. (Курская область, Горшеченский район, с. Ново–Меловое Новомеловского сельсовета (в центре села, вблизи здания средней школы)"
"Об утверждении графического описания местоположения границ защитной зоны объекта культурного наследия регионального значения "Братская могила воинов Советской Армии, погибших в феврале 1943 года", 1943 г. (Курская область, Горшеченский район, с. Ново–Меловое Новомеловского сельсовета (в центре села, вблизи здания средней школы)"
Номер опубликования: 4601202112230010
Дата опубликования:
23.12.2021
