Официальное опубликование правовых актов
ОФИЦИАЛЬНОЕ ОПУБЛИКОВАНИЕ
Приказ Комитета по охране объектов культурного наследия Курской области от 15.12.2021 № 01.1-08/636
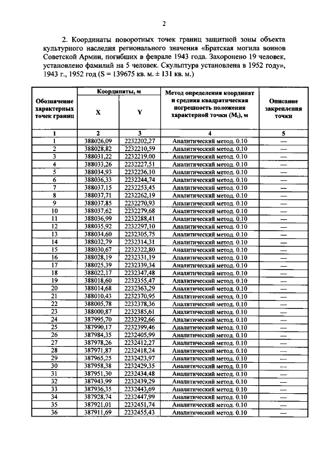
"Об утверждении графического описания местоположения границ защитной зоны объекта культурного наследия регионального значения "Братская могила воинов Советской Армии, погибших в феврале 1943 года. Захоронено 19 человек, установлено фамилий на 5 человек. Скульптура установлена в 1952 году", 1943 г., 1952 год (Курская область, Горшеченский район, село Сосновка)"
Номер опубликования: 4601202112230002
Дата опубликования: 23.12.2021
Страница №3 из 7:
Увеличить