Официальное опубликование правовых актов
ОФИЦИАЛЬНОЕ ОПУБЛИКОВАНИЕ
Приказ Комитета по охране объектов культурного наследия Курской области от 15.12.2021 № 01.1-08/637
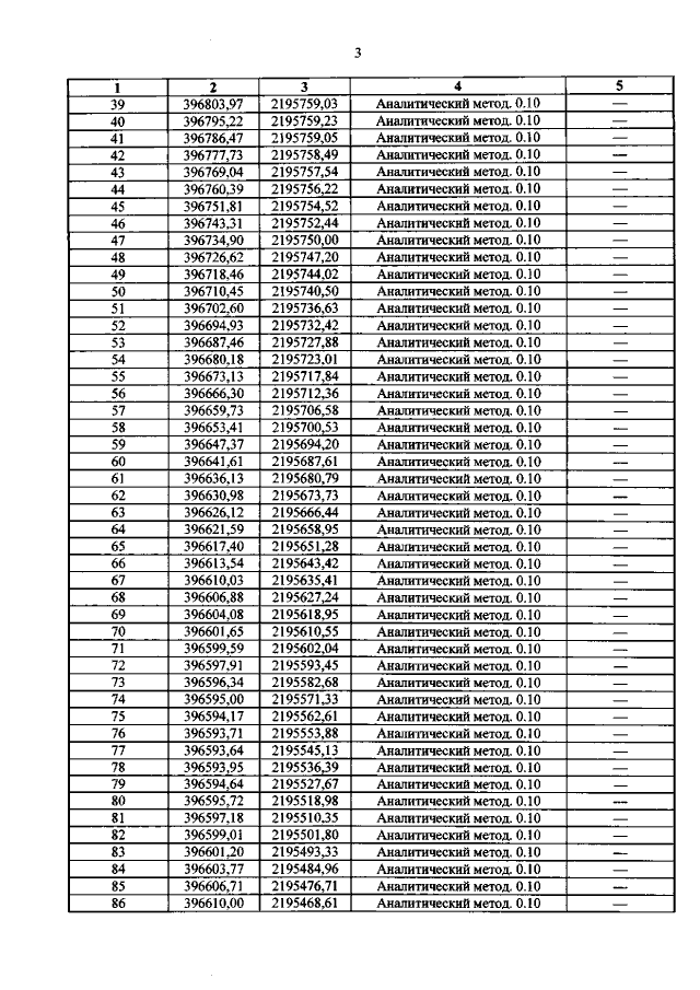
"Об утверждении графического описания местоположения границ защитной зоны объекта культурного наследия регионального значения "Братская могила воинов Советской Армии", 1943 г. (Курская область, Горшеченский район, с. Средние Апочки)"
Номер опубликования: 4601202112230001
Дата опубликования: 23.12.2021
Страница №4 из 7:
Увеличить