Официальное опубликование правовых актов
ОФИЦИАЛЬНОЕ ОПУБЛИКОВАНИЕ
Приказ Комитета по охране объектов культурного наследия Курской области от 15.12.2021 № 01.1-08/649
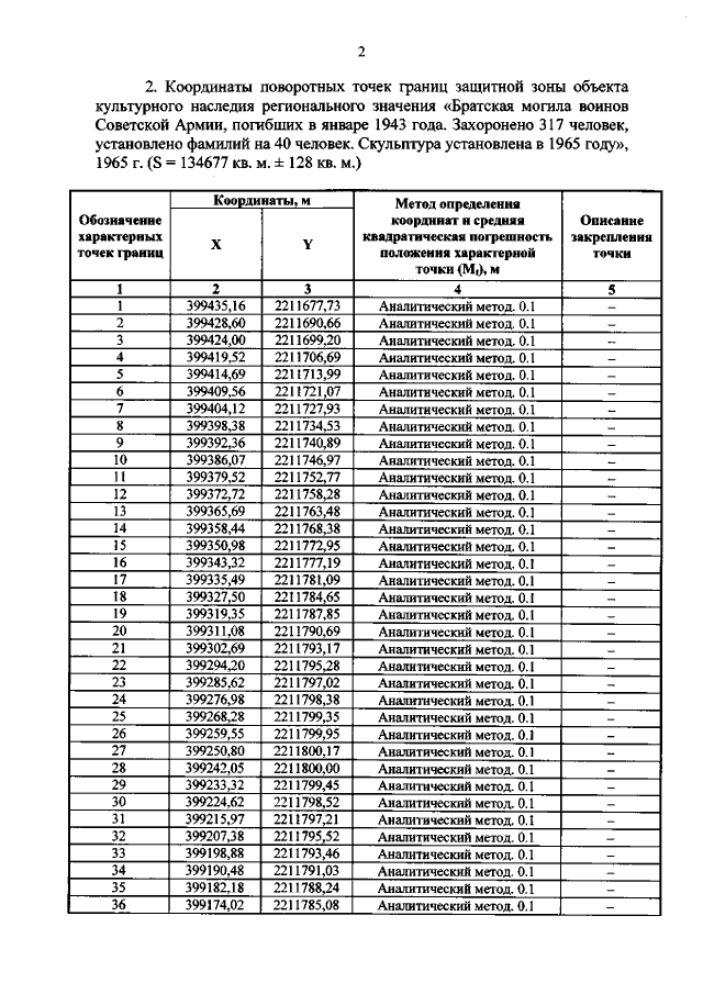
"Об утверждении графического описания местоположения границ защитной зоны объекта культурного наследия регионального значения "Братская могила воинов Советской Армии, погибших в январе 1943 года. Захоронено 317 человек, установлено фамилий на 40 человек. Скульптура установлена в 1965 году", 1965 г. (Курская область, Горшеченский район, с. Ключ)"
Номер опубликования: 4601202112210001
Дата опубликования: 21.12.2021
Страница №3 из 7:
Увеличить