Официальное опубликование правовых актов
ОФИЦИАЛЬНОЕ ОПУБЛИКОВАНИЕ
Приказ Комитета по охране объектов культурного наследия Курской области от 07.12.2021 № 01.1-08/609
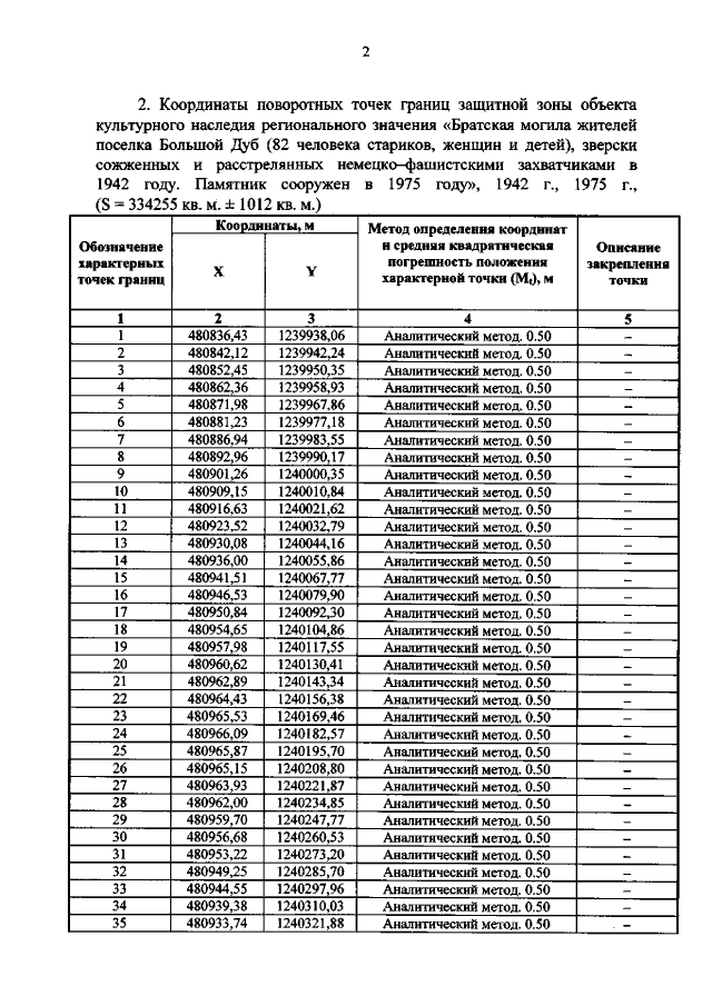
"Об утверждении графического описания местоположения границ защитной зоны объекта культурного наследия регионального значения "Братская могила жителей поселка Большой Дуб (82 человека стариков, женщин и детей), зверски сожженных и расстрелянных немецко-фашистскими захватчиками в 1942 году. Памятник сооружен в 1975 году", 1942 г., 1975 г. (Курская область, Железногорский район, шоссе, 8 км южнее сл. Михайловка, на месте бывшего пос. Большой Дуб)"
Номер опубликования: 4601202112130040
Дата опубликования: 13.12.2021
Страница №4 из 8:
Увеличить