Официальное опубликование правовых актов
ОФИЦИАЛЬНОЕ ОПУБЛИКОВАНИЕ
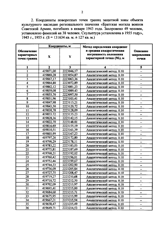
Приказ Комитета по охране объектов культурного наследия Курской области от 06.12.2021 № 01.1-08/603
"Об утверждении графического описания местоположения границ защитной зоны объекта культурного наследия регионального значения "Братская могила воинов Советской Армии, погибших в январе 1943 года. Захоронено 49 человек, установлено фамилий на 38 человек. Скульптура установлена в 1955 году", 1943 г., 1955 г. (Курская область, Касторенский район, с. Красная Долина Краснодолинского сельсовета (у здания восьмилетней школы)"
Номер опубликования: 4601202112130031
Дата опубликования: 13.12.2021
Страница №3 из 7:
Увеличить