Официальное опубликование правовых актов
ОФИЦИАЛЬНОЕ ОПУБЛИКОВАНИЕ
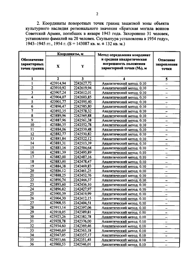
Приказ Комитета по охране объектов культурного наследия Курской области от 06.12.2021 № 01.1-08/602
"Об утверждении графического описания местоположения границ защитной зоны объекта культурного наследия регионального значения "Братская могила воинов Советской Армии, погибших в январе 1943 года. Захоронено 31 человек, установлено фамилий на 20 человек. Скульптура установлена в 1954 году", 1943–1945 гг., 1954 г.(Курская область, Касторенский район, с. Орехово Ореховского сельсовета (у здания правления колхоза им. XXI партсъезда)"
Номер опубликования: 4601202112130005
Дата опубликования: 13.12.2021
Страница №3 из 7:
Увеличить