Приказ Комитета по охране объектов культурного наследия Курской области от 30.11.2021 № 01.1-08/587
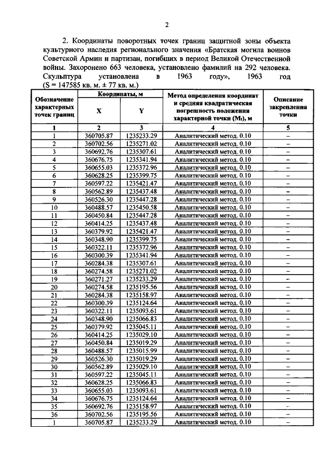
"Об утверждении графического описания местоположения границ защитной зоны объекта культурного наследия регионального значения "Братская могила воинов Советской Армии и партизан, погибших в период Великой Отечественной войны. Захоронено 663 человека, установлено фамилий на 292 человека. Скульптура установлена в 1963 году", 1963 год(Курская область, Суджанский район, г. Суджа, Советская площадь)"
"Об утверждении графического описания местоположения границ защитной зоны объекта культурного наследия регионального значения "Братская могила воинов Советской Армии и партизан, погибших в период Великой Отечественной войны. Захоронено 663 человека, установлено фамилий на 292 человека. Скульптура установлена в 1963 году", 1963 год(Курская область, Суджанский район, г. Суджа, Советская площадь)"
Номер опубликования: 4601202112070010
Дата опубликования:
07.12.2021
