Официальное опубликование правовых актов
ОФИЦИАЛЬНОЕ ОПУБЛИКОВАНИЕ
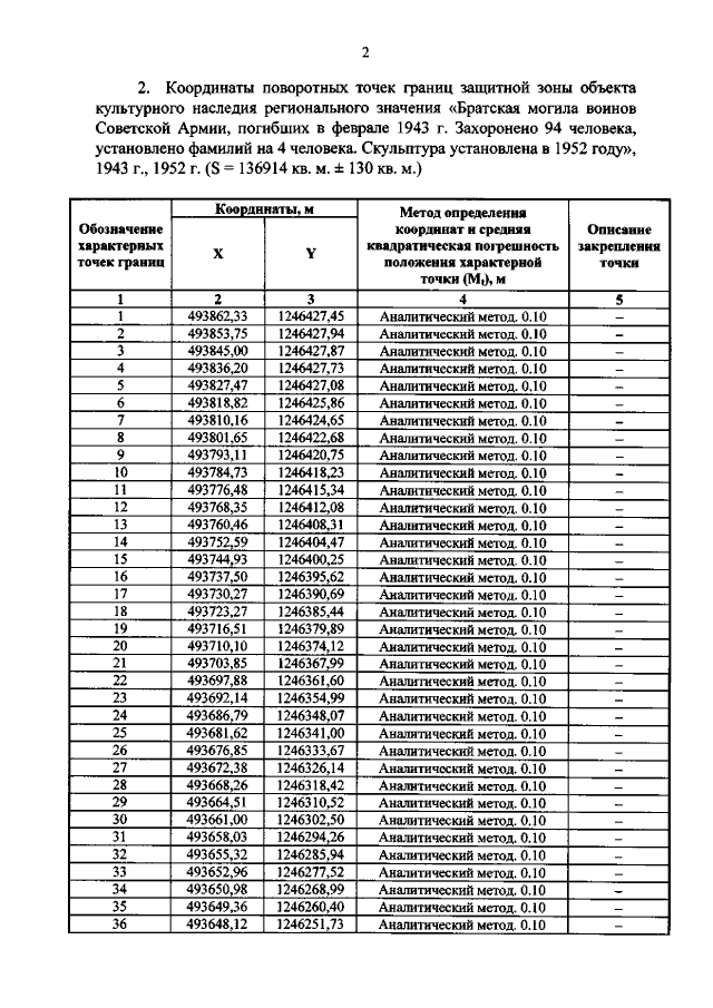
Приказ Комитета по охране объектов культурного наследия Курской области от 30.11.2021 № 01.1-08/570
"Об утверждении графического описания местоположения границ защитной зоны объекта культурного наследия регионального значения "Братская могила воинов Советской Армии , погибших в 1943 году. Захоронено 94 человека, установлено фамилий на 4 человека. Скульптура установлена в 1952 году", 1943 г., 1952 г. (Курская область, Железногорский район, дер. Рясник ( в саду у школы)"
Номер опубликования: 4601202112060007
Дата опубликования: 06.12.2021
Страница №3 из 7:
Увеличить