Официальное опубликование правовых актов
ОФИЦИАЛЬНОЕ ОПУБЛИКОВАНИЕ
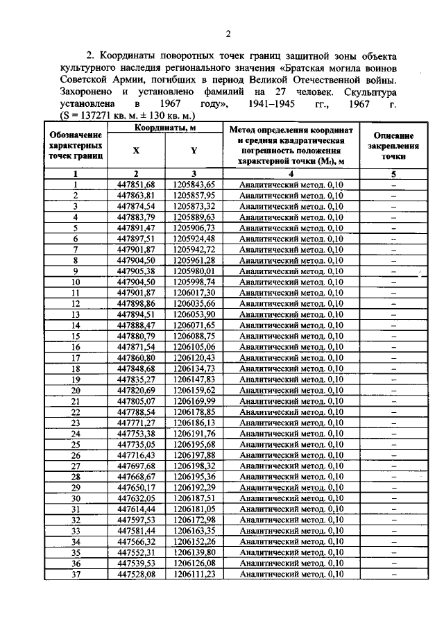
Приказ Комитета по охране объектов культурного наследия Курской области от 19.11.2021 № 01.1-08/549
"Об утверждении графического описания местоположения границ защитной зоны объекта культурного наследия регионального значения "Братская могила воинов Советской Армии, погибших в период Великой Отечественной войны. Захоронено и установлено фамилий на 27 человек. Скульптура установлена в 1967 году", 1941–1945 гг., 1967 г. (Курская область, Хомутовский район, село Звенячка)"
Номер опубликования: 4601202111250004
Дата опубликования: 25.11.2021
Страница №3 из 5:
Увеличить