Официальное опубликование правовых актов
ОФИЦИАЛЬНОЕ ОПУБЛИКОВАНИЕ
Приказ Комитета по охране объектов культурного наследия Курской области от 19.11.2021 № 01.1-08/548
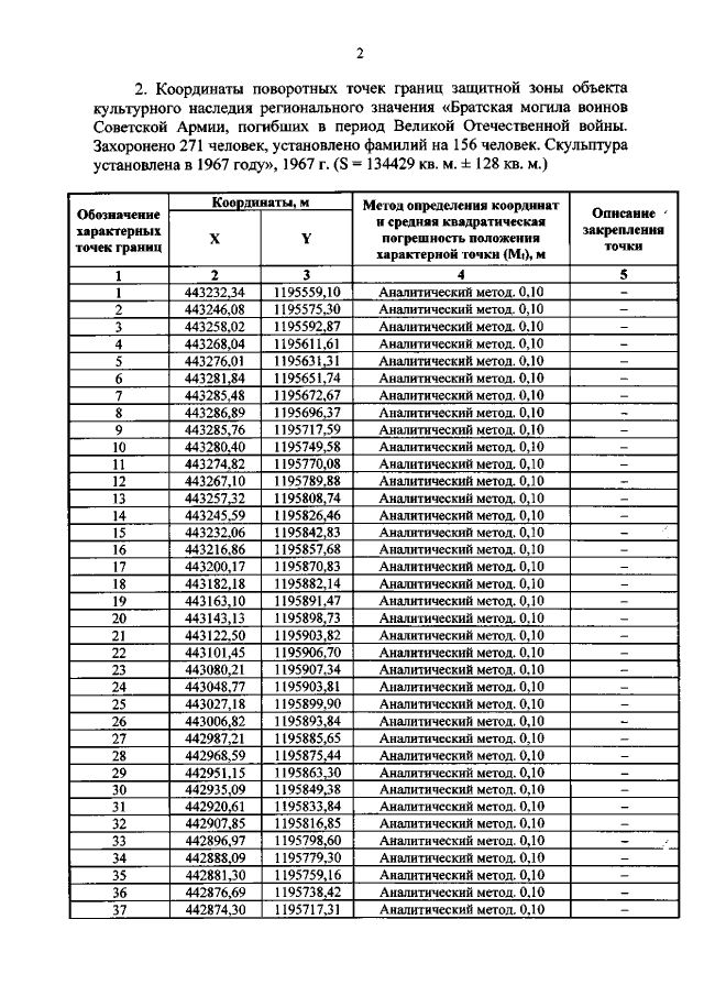
"Об утверждении графического описания местоположения границ защитной зоны объекта культурного наследия регионального значения "Братская могила воинов Советской Армии, погибших в период Великой Отечественной войны. Захоронено 271 человек, установлено фамилий на 156 человек. Скульптура установлена в 1967 году", 1967 г.(Курская область, Хомутовский район, с. Гламаздино)"
Номер опубликования: 4601202111250003
Дата опубликования: 25.11.2021
Страница №2 из 5:
Увеличить