Приказ Комитета по охране объектов культурного наследия Курской области от 19.11.2021 № 01.1-08/551
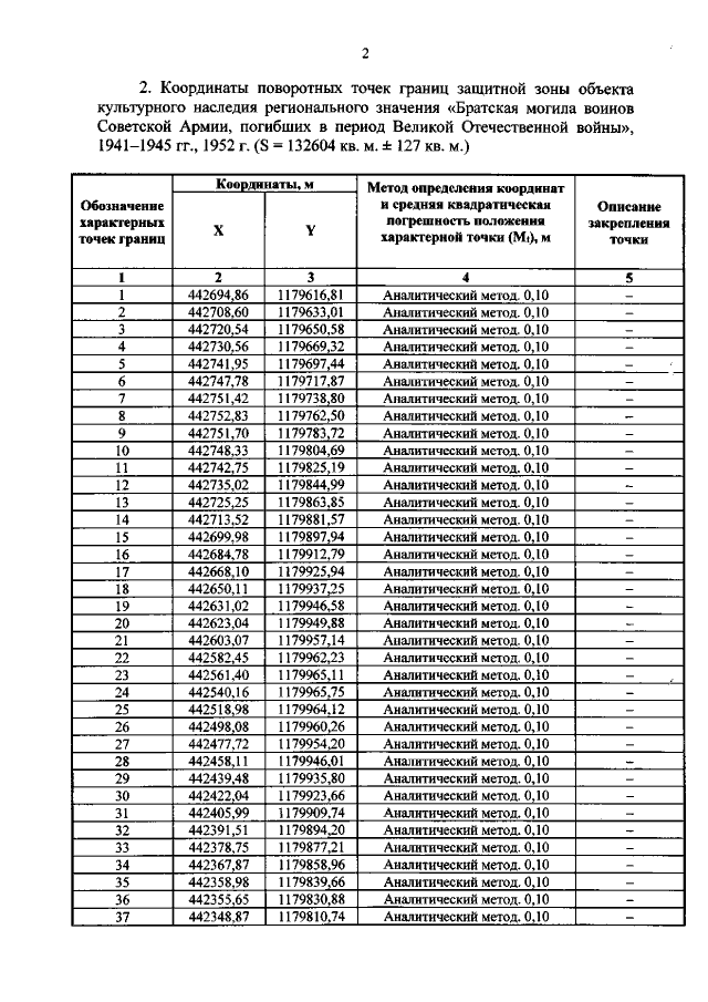
"Об утверждении графического описания местоположения границ защитной зоны объекта культурного наследия регионального значения "Братская могила воинов Советской Армии, погибших в период Великой Отечественной войны", 1941–1945 гг., 1952 г.(Курская область, Хомутовский район, пос. Колячок (у конторы лесхоза)"
"Об утверждении графического описания местоположения границ защитной зоны объекта культурного наследия регионального значения "Братская могила воинов Советской Армии, погибших в период Великой Отечественной войны", 1941–1945 гг., 1952 г.(Курская область, Хомутовский район, пос. Колячок (у конторы лесхоза)"
Номер опубликования: 4601202111250002
Дата опубликования:
25.11.2021
