Официальное опубликование правовых актов
ОФИЦИАЛЬНОЕ ОПУБЛИКОВАНИЕ
Приказ Комитета по охране объектов культурного наследия Курской области от 19.11.2021 № 01.1-08/550
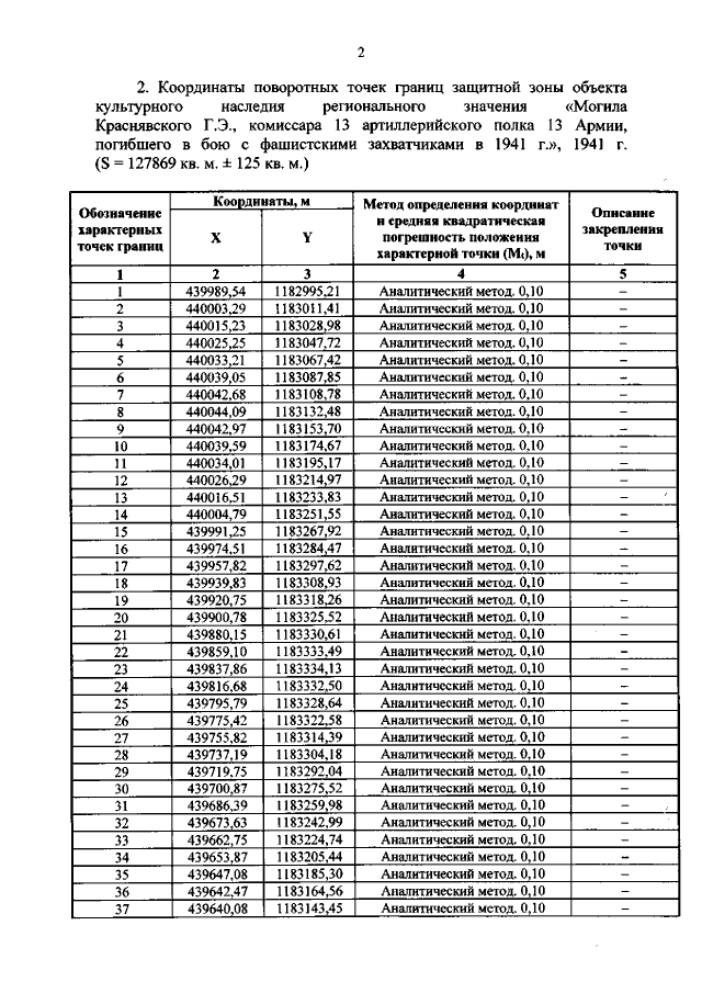
"Об утверждении графического описания местоположения границ защитной зоны объекта культурного наследия регионального значения "Могила Краснявского Г.Э., комиссара 13 артиллерийского полка 13 Армии, погибшего в бою с фашистскими захватчиками в 1941 г.", 1941 г.(Курская область, Хомутовский район, с. Калиновка)"
Номер опубликования: 4601202111250001
Дата опубликования: 25.11.2021
Страница №3 из 5:
Увеличить