Приказ Комитета по охране объектов культурного наследия Курской области от 19.11.2021 № 01.1-08/556
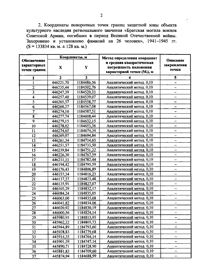
"Об утверждении графического описания местоположения границ защитной зоны объекта культурного наследия регионального значения "Братская могила воинов Советской Армии, погибших в период Великой Отечественной войны. Захоронено и установлено фамилий на 26 человек", 1941–1945 гг. (Курская область, Хомутовский район, с. Дубовица)"
"Об утверждении графического описания местоположения границ защитной зоны объекта культурного наследия регионального значения "Братская могила воинов Советской Армии, погибших в период Великой Отечественной войны. Захоронено и установлено фамилий на 26 человек", 1941–1945 гг. (Курская область, Хомутовский район, с. Дубовица)"
Номер опубликования: 4601202111240022
Дата опубликования:
24.11.2021
