Приказ Комитета по охране объектов культурного наследия Курской области от 19.11.2021 № 01.1-08/552
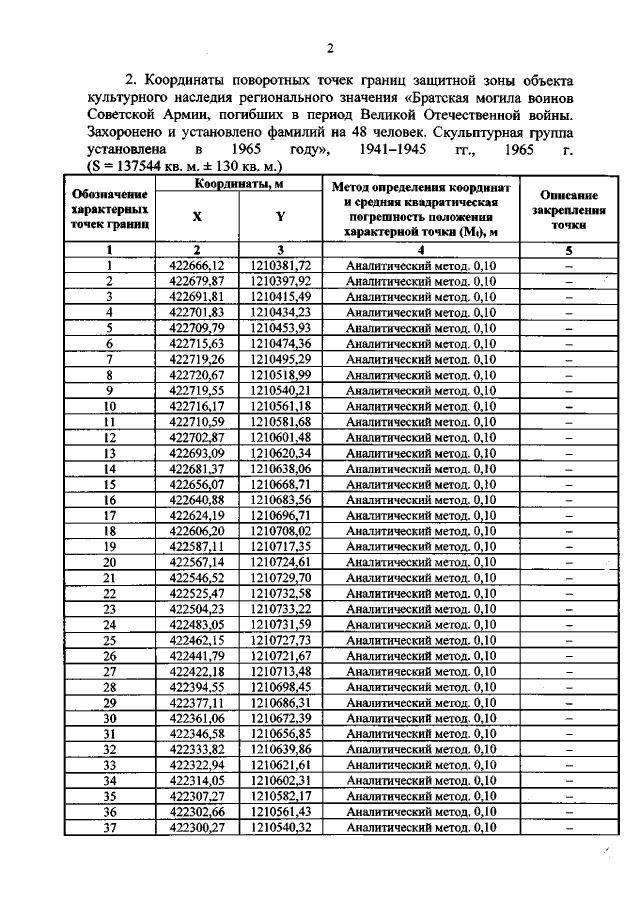
"Об утверждении графического описания местоположения границ защитной зоны объекта культурного наследия регионального значения "Братская могила воинов Советской Армии, погибших в период Великой Отечественной войны. Захоронено и установлено фамилий на 48 человек. Скульптурная группа установлена в 1965 году", 1941–1945 гг., 1965 г.(Курская область, Хомутовский район, село Луговое)"
"Об утверждении графического описания местоположения границ защитной зоны объекта культурного наследия регионального значения "Братская могила воинов Советской Армии, погибших в период Великой Отечественной войны. Захоронено и установлено фамилий на 48 человек. Скульптурная группа установлена в 1965 году", 1941–1945 гг., 1965 г.(Курская область, Хомутовский район, село Луговое)"
Номер опубликования: 4601202111240019
Дата опубликования:
24.11.2021
