Приказ Комитета по охране объектов культурного наследия Курской области от 09.11.2021 № 01.1-08/518
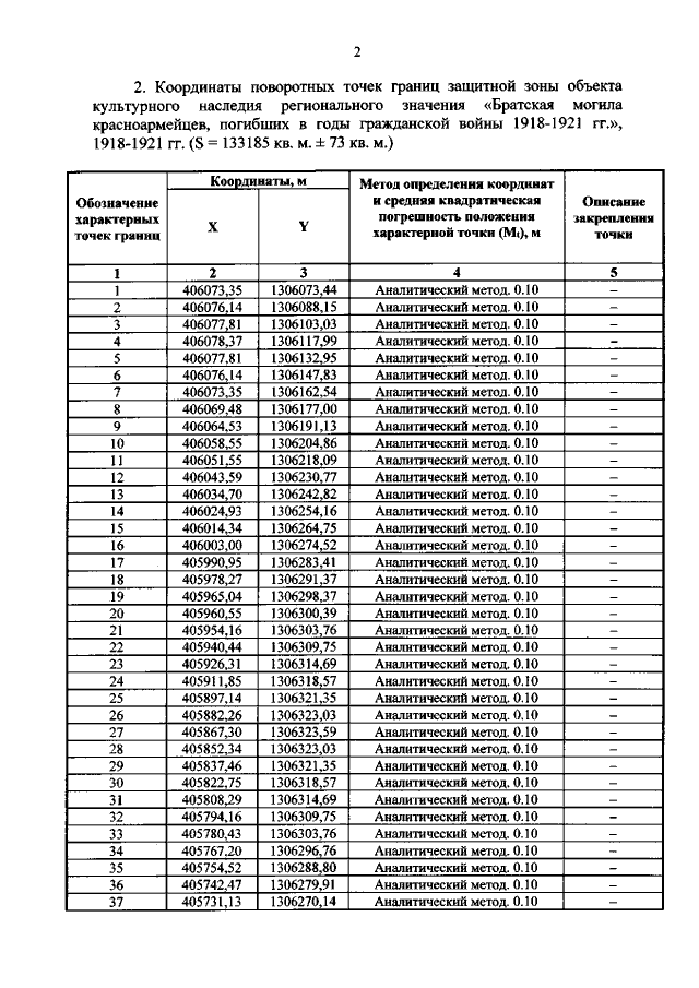
"Об утверждении графического описания местоположения границ защитной зоны объекта культурного наследия регионального значения "Братская могила красноармейцев, погибших в годы гражданской войны 1918-1921 гг.", 1918-1921 гг. (Курская область, Курский район, Лебяженский сельсовет, д. 1-е Безлесное)"
"Об утверждении графического описания местоположения границ защитной зоны объекта культурного наследия регионального значения "Братская могила красноармейцев, погибших в годы гражданской войны 1918-1921 гг.", 1918-1921 гг. (Курская область, Курский район, Лебяженский сельсовет, д. 1-е Безлесное)"
Номер опубликования: 4601202111150014
Дата опубликования:
15.11.2021
