Официальное опубликование правовых актов
ОФИЦИАЛЬНОЕ ОПУБЛИКОВАНИЕ
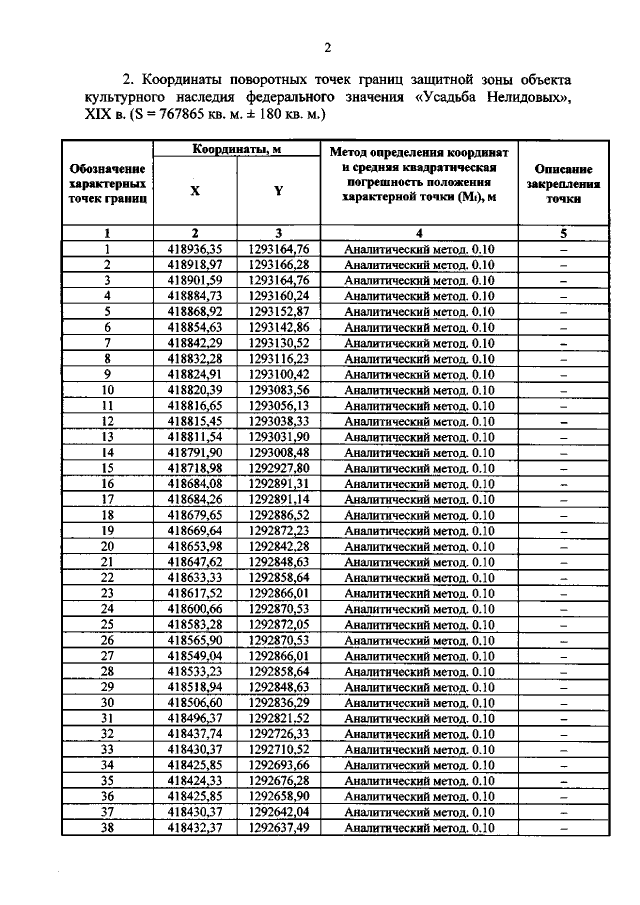
Приказ Комитета по охране объектов культурного наследия Курской области от 09.11.2021 № 01.1-08/533
"Об утверждении графического описания местоположения границ защитной зоны объекта культурного наследия федерального значения "Усадьба Нелидовых", XlX в. (Курская область, Курский район, Моковский сельсовет, деревня 1–я Моква, ул. Парковая, 6)"
Номер опубликования: 4601202111150012
Дата опубликования: 15.11.2021
Страница №3 из 7:
Увеличить