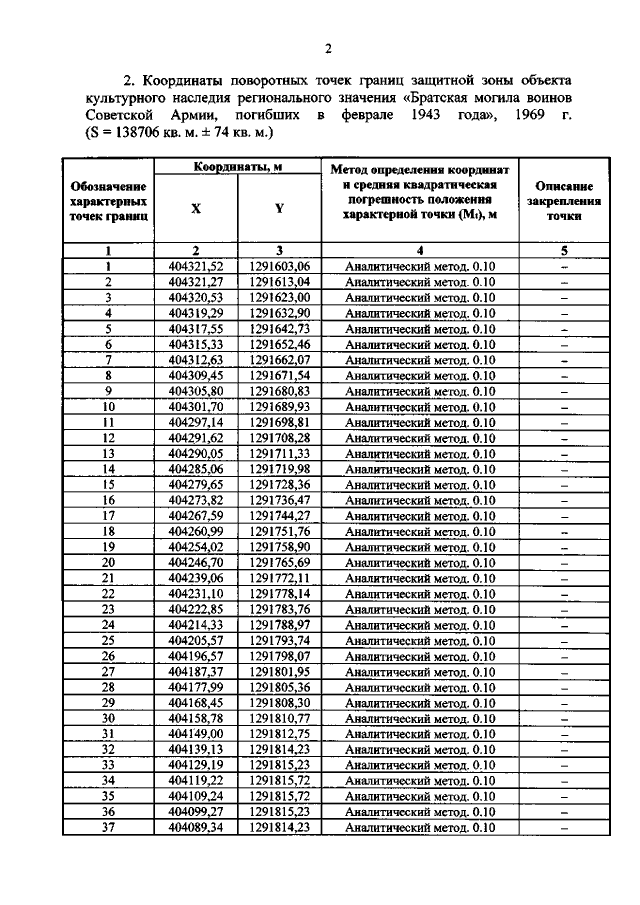
Приказ Комитета по охране объектов культурного наследия Курской области от 09.11.2021 № 01.1-08/538
"Об утверждении графического описания местоположения границ защитной зоны объекта культурного наследия регионального значения "Братская могила воинов Советской Армии, погибших в феврале 1943 года", 1969 г. (Курская область, Курский район, д. Селиховы Дворы)"
"Об утверждении графического описания местоположения границ защитной зоны объекта культурного наследия регионального значения "Братская могила воинов Советской Армии, погибших в феврале 1943 года", 1969 г. (Курская область, Курский район, д. Селиховы Дворы)"
Номер опубликования: 4601202111150011
Дата опубликования:
15.11.2021
