Приказ Комитета по охране объектов культурного наследия Курской области от 09.11.2021 № 01.1-08/525
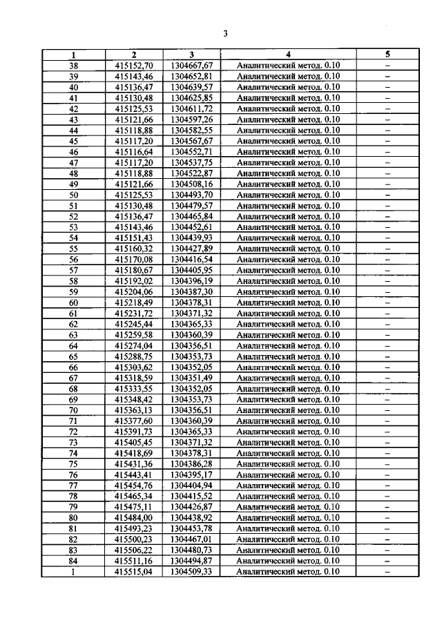
"Об утверждении графического описания местоположения границ защитной зоны объекта культурного наследия регионального значения "Братская могила воинов Советской Армии, погибших в феврале 1943 года. Захоронено 29 человек, установлено фамилий на 12 человек. Скульптура установлена в 1947 году", 1943 г., 1947 г. (Курская область, Курский район, с. Лебяжье Лебяженского сельсовета (в парке на территории дома отдыха "Лебяжье")"
"Об утверждении графического описания местоположения границ защитной зоны объекта культурного наследия регионального значения "Братская могила воинов Советской Армии, погибших в феврале 1943 года. Захоронено 29 человек, установлено фамилий на 12 человек. Скульптура установлена в 1947 году", 1943 г., 1947 г. (Курская область, Курский район, с. Лебяжье Лебяженского сельсовета (в парке на территории дома отдыха "Лебяжье")"
Номер опубликования: 4601202111150008
Дата опубликования:
15.11.2021
