Приказ Комитета по охране объектов культурного наследия Курской области от 09.11.2021 № 01.1-08/520
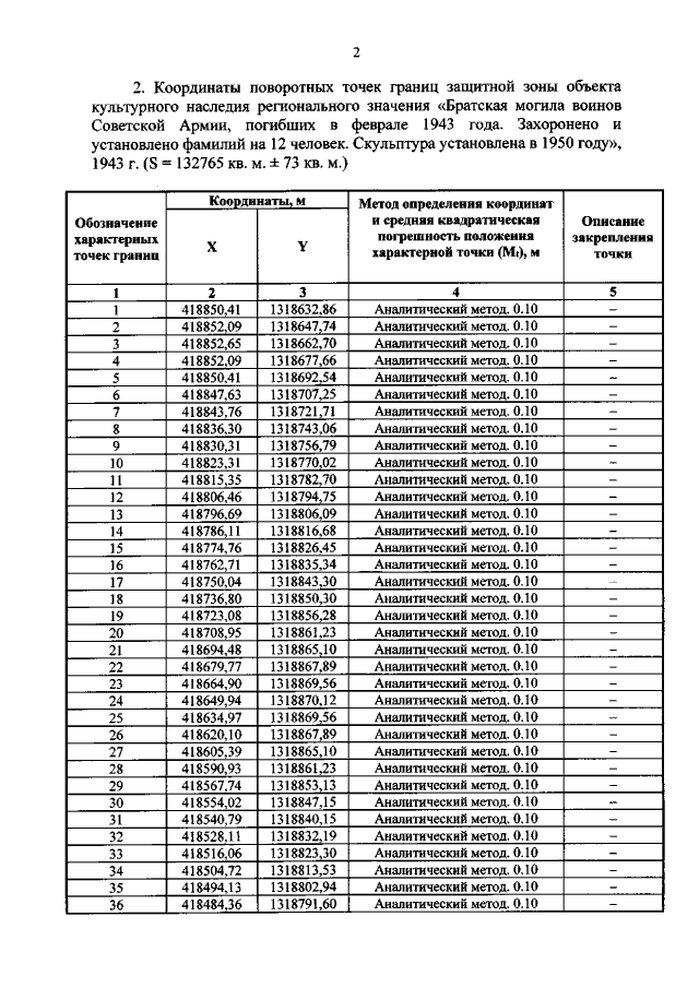
"Об утверждении графического описания местоположения границ защитной зоны объекта культурного наследия регионального значения "Братская могила воинов Советской Армии, погибших в феврале 1943 года. Захоронено и установлено фамилий на 12 человек. Скульптура установлена в 1950 году", 1943 г. (Курская область, Курский район, с. Беседино)"
"Об утверждении графического описания местоположения границ защитной зоны объекта культурного наследия регионального значения "Братская могила воинов Советской Армии, погибших в феврале 1943 года. Захоронено и установлено фамилий на 12 человек. Скульптура установлена в 1950 году", 1943 г. (Курская область, Курский район, с. Беседино)"
Номер опубликования: 4601202111150007
Дата опубликования:
15.11.2021
