Приказ Комитета по охране объектов культурного наследия Курской области от 09.11.2021 № 01.1-08/529
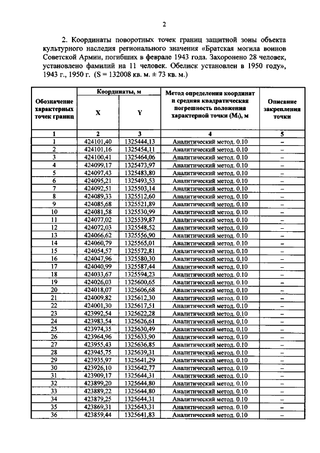
"Об утверждении графического описания местоположения границ защитной зоны объекта культурного наследия регионального значения "Братская могила воинов Советской Армии, погибших в феврале 1943 года. Захоронено 28 человек, установлено фамилий на 11 человек. Обелиск установлен в 1950 году", 1943 г., 1950 г.(Курская область, Курский район, Бесединский сельсовет, с. Троица, д. 44 "а")"
"Об утверждении графического описания местоположения границ защитной зоны объекта культурного наследия регионального значения "Братская могила воинов Советской Армии, погибших в феврале 1943 года. Захоронено 28 человек, установлено фамилий на 11 человек. Обелиск установлен в 1950 году", 1943 г., 1950 г.(Курская область, Курский район, Бесединский сельсовет, с. Троица, д. 44 "а")"
Номер опубликования: 4601202111120011
Дата опубликования:
12.11.2021
