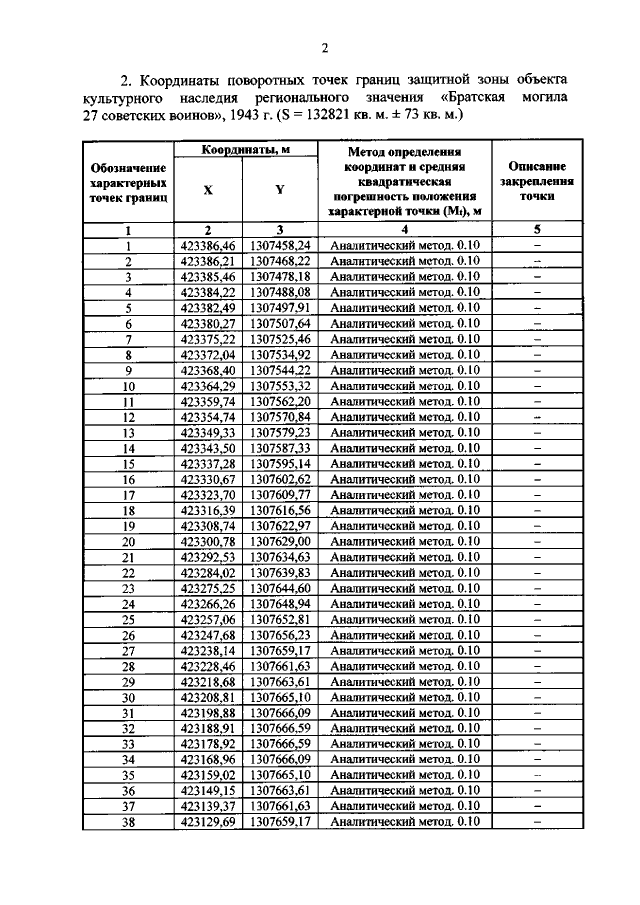
Приказ Комитета по охране объектов культурного наследия Курской области от 09.11.2021 № 01.1-08/517
"Об утверждении графического описания местоположения границ защитной зоны объекта культурного наследия регионального значения "Братская могила 27 советских воинов", 1943 г.(Курская область, Курский район, д. Халино (военный городок 26)"
"Об утверждении графического описания местоположения границ защитной зоны объекта культурного наследия регионального значения "Братская могила 27 советских воинов", 1943 г.(Курская область, Курский район, д. Халино (военный городок 26)"
Номер опубликования: 4601202111120002
Дата опубликования:
12.11.2021
