Официальное опубликование правовых актов
ОФИЦИАЛЬНОЕ ОПУБЛИКОВАНИЕ
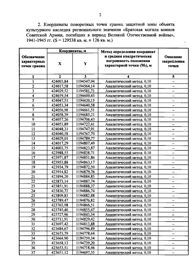
Приказ Комитета по охране объектов культурного наследия Курской области от 21.10.2021 № 01.1-08/506
"Об утверждении графического описания местоположения границ защитной зоны объекта культурного наследия регионального значения "Братская могила воинов Советской Армии, погибших в период Великой Отечественной войны", 1941-1945 гг. (Курская область, Хомутовский район, село Большая Алешня)"
Номер опубликования: 4601202110260001
Дата опубликования: 26.10.2021
Страница №3 из 5:
Увеличить