Приказ Комитета по охране объектов культурного наследия Курской области от 21.10.2021 № 01.1-08/501
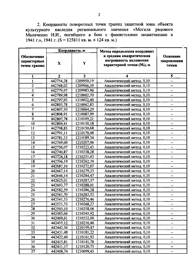
"Об утверждении графического описания местоположения границ защитной зоны объекта культурного наследия регионального значения "Могила рядового Маличенко Н.И., погибшего в бою с фашистскими захватчиками в 1941 г.", 1941 г.(Курская область, Хомутовский район, д. Меньшиково)"
"Об утверждении графического описания местоположения границ защитной зоны объекта культурного наследия регионального значения "Могила рядового Маличенко Н.И., погибшего в бою с фашистскими захватчиками в 1941 г.", 1941 г.(Курская область, Хомутовский район, д. Меньшиково)"
Номер опубликования: 4601202110250005
Дата опубликования:
25.10.2021
