Приказ Комитета по охране объектов культурного наследия Курской области от 21.10.2021 № 01.1-08/502
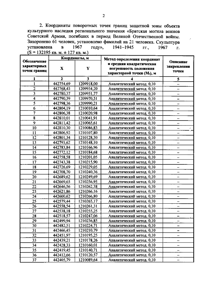
"Об утверждении графического описания местоположения границ защитной зоны объекта культурного наследия регионального значения "Братская могила воинов Советской Армии, погибших в период Великой Отечественной войны. Захоронено 61 человек, установлено фамилий на 21 человека. Скульптура установлена в 1967 году", 1941–1945 гг., 1967 г.(Курская область, Хомутовский район, д. Меньшиково (у здания Дома культуры)"
"Об утверждении графического описания местоположения границ защитной зоны объекта культурного наследия регионального значения "Братская могила воинов Советской Армии, погибших в период Великой Отечественной войны. Захоронено 61 человек, установлено фамилий на 21 человека. Скульптура установлена в 1967 году", 1941–1945 гг., 1967 г.(Курская область, Хомутовский район, д. Меньшиково (у здания Дома культуры)"
Номер опубликования: 4601202110250003
Дата опубликования:
25.10.2021
